Abstract
Intro: Von Willebrand disease (VWD) is a coagulopathy caused by deficiency or dysfunction of von Willebrand factor (VWF), resulting in prolonged and excessive bleeding. Patients are advised to avoid aspirin (ASA), P2Y12 inhibitors, or anticoagulation (AC) so as not to exacerbate this condition. However, typical treatment for atrial fibrillation (AF) includes anticoagulation, particularly if the risk of stroke by CHA 2DS 2-VASC score is 2+. Current recommendations suggest giving necessary antiplatelet (AP) or AC therapy over no treatment with assessment of bleeding risk throughout the course. However, this is a conditional recommendation based on low certainty in evidence, and there are no specific guidelines on treating AF in patients with VWD. This study aims to assess anticoagulation use, bleeding risk, and stroke risk in patients with VWF and AF.
Methods: We conducted an IRB-approved analysis of coded data from institutional electronic medical records to select patients with diagnosis of VWD, low ristocetin cofactor level, or any abnormal VWF panel as well as patients with diagnosis of AF or atrial flutter. Three hundred and forty patients met criteria. Patients were manually screened for inclusion criteria and excluded for inaccurate diagnosis or insufficient data. Eighty-nine patients were included in the analysis. Primary endpoint was rate of major bleeding defined by ISTH criteria while on AC or AP. Categorical data were tested using the Fisher exact test at the nominal 0.05 two-sided significance level, and all person-time comparisons are made against the rate of bleeding on AC alone.
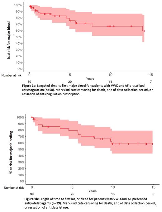
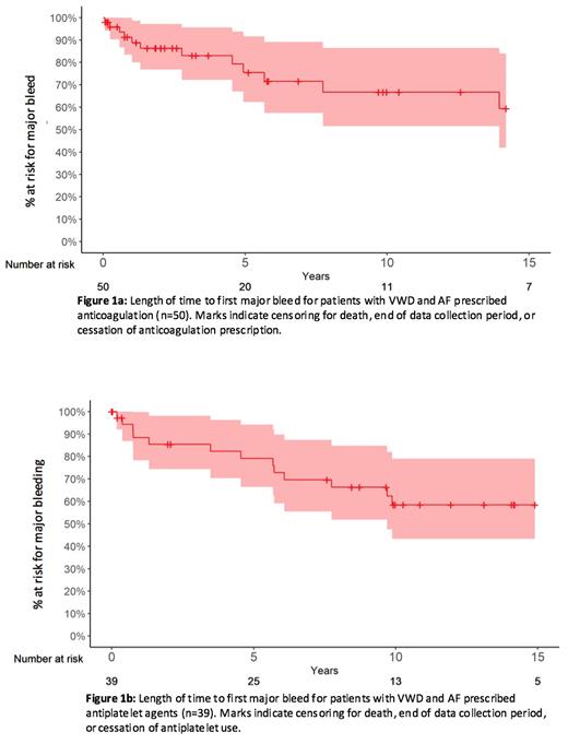
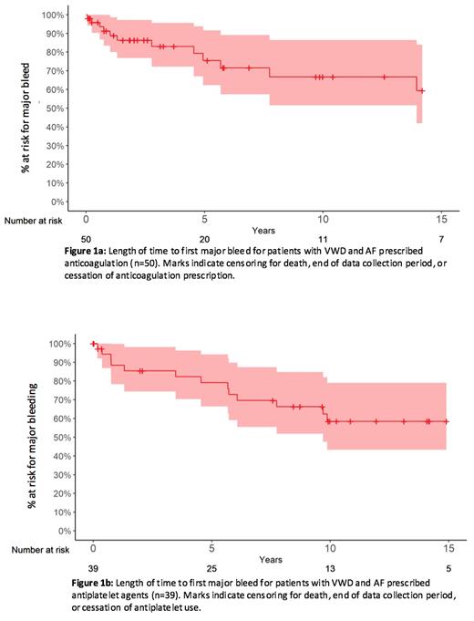
Results: Most patients were female (64.0%; 57/89), and 28.1% (25/89) were deceased at the time of data collection. Date of diagnosis of AF ranged from 1980-2020. 42.7% (38/89) of patients were ever prescribed ASA, 43.8% (39/89) a P2Y12 inhibitor, 56.2% (50/89) AC, and 23.6% (21/89) had never been prescribed AP or AC. Of patients with a CHA 2DS 2-VASC of 2+, 57.5% (46/80) were ever prescribed AC. 32.0% (16/50) of patients ever prescribed AC and 25.6% (10/39) patients never prescribed AC had at least one major bleeding event (p=0.428). The rate of major bleeding on AC alone was 8.9 events per 100 person-years (32 events/359.2 years), 10.2 events per 100 person-years on AP alone (41 events/402.3 years) (p=0.572), and 1.06 events per 100 person-years (8 events/757.47 years) in patients never prescribed AC or AP (p=<0.0001). Notably, the rate of major bleeding on AC and AP together was 28.07 events per 100 person-years (23 events/81.94 years) (p=<0.0001) occurring in 7 patients, 6 of whom also had a diagnosis of acute coronary syndrome (ACS). Length of time to first major bleed is shown in Figure 1. 16.9% (15/89) of patients had thromboembolic strokes after diagnosis of AF, and 53.3% (8/15) of those strokes occurred when patients were not prescribed AC.
Discussion: This retrospective observational study over 40 years characterizes AC and AP use in patients with VWD and AF. Only 57.5% of patients with CHA 2DS 2-VASC of 2+ received standard of care AC despite conditional recommendations to give necessary anticoagulation to patients with VWD. In parallel with the general population, AC use significantly increases the rate of major bleeding in patients with VWD, but there was no difference in bleeding rate between standard AC and AP monotherapy. However, major bleeding rates were notably elevated in patients prescribed concomitant AC and AP which most commonly occurred in the setting of ACS. This analysis is limited by its retrospective nature, the lack of granular details in the coded database, and incomplete data in older charts. Overall, these data do not support the use of AP monotherapy over standard AC to reduce bleeding rates for patients with VWD and AF. Additionally, AC and AP co-administration should be avoided due to high rates of major bleeding, but more studies are required to understand AP and AC strategies in patients with VWD, AF, and ACS. Although the rate of major bleeding is elevated with AC use in patients with VWD, there is no difference in lifetime prevalence of major bleeding events by AC vs no AC use. Finally, over half of thromboembolic strokes occurred when not prescribed AC. Shared decision-making around stroke and bleeding risk is advised in considering AC use for AF in patients with VWD. Prospective studies should further evaluate the risk of major bleeding and stroke in patients with VWD and AF on standard AC vs no AC.
No relevant conflicts of interest to declare.

This feature is available to Subscribers Only
Sign In or Create an Account Close Modal